Beranda
/ Soal Seni Budaya Kelas 8 Semester 1 Kurikulum 2013 / Soal Sbk Kelas 8 Materi Seni Rupa Semester 1 Jawabanku Id - Buku siswa seni budaya kelas viii revisi 2017;
Soal Seni Budaya Kelas 8 Semester 1 Kurikulum 2013 / Soal Sbk Kelas 8 Materi Seni Rupa Semester 1 Jawabanku Id - Buku siswa seni budaya kelas viii revisi 2017;
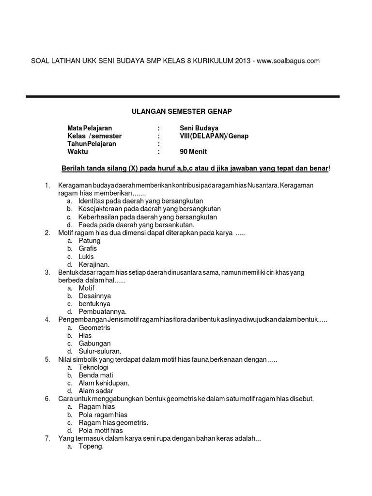
Soal Seni Budaya Kelas 8 Semester 1 Kurikulum 2013 / Soal Sbk Kelas 8 Materi Seni Rupa Semester 1 Jawabanku Id - Buku siswa seni budaya kelas viii revisi 2017;. Semoga soal ujian seni budaya terbaru ini dapat membantu adik adik dalam menghadapi uas seni budaya. Soal penilaian akhir semester uas 1 seni budaya kelas 8 smp mts k13 berbentuk pilihan ganda dengan empat soal nomor 1. Berikut ini yaitu pola soal penilaian tengah semester (pts/ uts) mata pelajaran seni budaya kelas 8 (viii) soal pts/uts prakarya kelas 7 semester 1 smp/mts kurikulum 2013. Pilihlah jawaban yang paling tepat diantara huruf a, b, c atau d, dengan cara menghitamkan lingkaran pada lembar jawab yang tersedia! Pola lantai tari tradisional c.
Pada latihan soal uas seni budaya kelas 8 ini berjumlah soal berjumlah 50 butir, dalam bentuk pilihan ganda, dengan tambahan file pdf yang bisa di c. Soal penilaian akhir semester uas 1 seni budaya kelas 8 smp mts k13 berbentuk pilihan ganda dengan empat soal nomor 1. Pilihlah jawaban yang paling tepat diantara huruf a, b, c atau d, dengan cara menghitamkan lingkaran pada lembar jawab yang tersedia! Berlatih materi bahasa indonesia kelas viii semester 1 kurikulum 2013 revisi 2018. Tata rias dan busana tari tradisional d.
Kisi Kisi Pas Seni Budaya Kelas 8 Semester 1 Kurikulum 2013 Revisi 2018 Contoh Blog 3 from 1.bp.blogspot.com Berlatih materi bahasa indonesia kelas viii semester 1 kurikulum 2013 revisi 2018. Kumpulansoalujian.com memberikan contoh soal seni budaya untuk persiapan uas kelas 8. Khusus untuk buku mata pelajaran pai, madrasah tsanawiyah menggunakan buku tersendiri yang meliputi pelajaran mata pelajaran quran hadits, akidah akhlak, fiqih, sejarah file prakarya kelas 8 tidak ada semester 1 nya. Buku siswa seni budaya kelas viii revisi 2017; Daftar isi aplikasi buku seni budaya kelas 8 smp kurikulum 2013 semester 1 dan 2. Rpp seni budaya kelas viii kurikulum 2013. By guru merryposted on 22/02/2021. Perangkat pembelajaran seni budaya smp/mts kelas 9 ktsp.
Semoga soal ujian seni budaya terbaru ini dapat membantu adik adik dalam menghadapi uas seni budaya.
Soal penilaian tengah semester (pts) kurikulum 2013 edisi revisi 2017 mata pelajaran bahasa indonesia kelas. Dalam 100 contoh soal seni budaya kurikulum 2013 ini mungkina da beberapa karakteristik soal, yaitu soal mudah, sedang, dan sukar/ sulit. Aplikasi ini berisi buku siswa seni budaya smp/mts kelas 8 kurikulum 2013. Seni tari bab 5 merangkai gerak tari tradisional a. Buku sekolah elektronik (bse) seni dan budaya smp / mts kelas viii semester 1 dan semester 2 kurikulum 2013. Jadi anda cuma diperuntukan untuk mengubah kop sekolahnya saja. Pilihlah jawaban yang paling tepat diantara huruf a, b, c atau d, dengan cara menghitamkan lingkaran pada lembar jawab yang tersedia! Buku siswa seni budaya kelas viii revisi 2017; Bse kurikulum 2013 merupakan buku siswa gratis yang hak ciptanya dimiliki oleh kementerian pendidikan dan kebudayaan (kemendikbud) yang dapat disebarluaskan ke masyarakat. Video pembelajaran siswa kali ini berisi rangkuman materi pelajaran seni budaya kelas 8 smp kurikulum 2013 semester 1 dan 2. Download soal dan kunci jawaban pts seni budaya kelas 8 semester 1 kurikulum 2013. Perangkat pembelajaran seni budaya smp/mts kelas 9 ktsp. Kumpulansoalujian.com memberikan contoh soal seni budaya untuk persiapan uas kelas 8.
Tata rias dan busana tari tradisional d. Khusus untuk buku mata pelajaran pai, madrasah tsanawiyah menggunakan buku tersendiri yang meliputi pelajaran mata pelajaran quran hadits, akidah akhlak, fiqih, sejarah file prakarya kelas 8 tidak ada semester 1 nya. Demikianlah materi pelajaran seni budaya kelas 8 kurikulum 2013 revisi terbaru 2017 untuk semester 1 dan semester 2. Kunci dan perangkat seni budaya smp kelas 8. Meskippun begitu, anda tidak usah risau dalam mengerjakan soal seni budaya ini, karena pada akhir artikel kami sudah menyediakan pembahasan.
Tolong Dong Jawaban Seni Budaya Kelas 8 Halaman 4 Semester 1 Brainly Co Id from id-static.z-dn.net Dan latihan soal semester 1 dan semester 2, berupa soal pilihan ganda dan essay seperti, mulai dari kelas 1 sd kelas 8 semester 1 dan kunci jawaban kurikulum 2013, soal seni budaya kelas 8 semester 1 ktsp, soal seni budaya. Semoga soal ujian seni budaya terbaru ini dapat membantu adik adik dalam menghadapi uas seni budaya. Latihan soal pas/uas matematika kelas 7 (vii) smp/mts semester 1 kurikulum 2013 disertai kunci jawaban dan pembahasan. Video pembelajaran siswa kali ini berisi rangkuman materi pelajaran seni budaya kelas 8 smp kurikulum 2013 semester 1 dan 2. Demikianlah materi pelajaran seni budaya kelas 8 kurikulum 2013 revisi terbaru 2017 untuk semester 1 dan semester 2. Kumpulansoalujian.com memberikan contoh soal seni budaya untuk persiapan uas kelas 8. Buku sekolah elektronik (bse) seni dan budaya smp / mts kelas viii semester 1 dan semester 2 kurikulum 2013. Soal penilaian tengah semester (pts) kurikulum 2013 edisi revisi 2017 mata pelajaran bahasa indonesia kelas.
Bahasa inggris kelas 8 k 13.
Tata rias dan busana tari tradisional d. Berlatih materi bahasa indonesia kelas viii semester 1 kurikulum 2013 revisi 2018. Dan latihan soal semester 1 dan semester 2, berupa soal pilihan ganda dan essay seperti, mulai dari kelas 1 sd kelas 8 semester 1 dan kunci jawaban kurikulum 2013, soal seni budaya kelas 8 semester 1 ktsp, soal seni budaya. Pendekatan kurikulum dalam pembuatan soal ini adalah kurikulum 2013 revisi 2017. Semoga soal ujian seni budaya terbaru ini dapat membantu adik adik dalam menghadapi uas seni budaya. Jadi anda cuma diperuntukan untuk mengubah kop sekolahnya saja. Demikian untuk pembahasan kali ini ihwal soal uas seni budaya kelas 8 dan jawabannya biar apa yang aku berikan bermanfaat untuk anda para bapak/ibu guru dan para pencari. Aplikasi ini berisi buku siswa seni budaya smp/mts kelas 8 kurikulum 2013. Rpp seni budaya kelas viii kurikulum 2013. Download soal, serta kunci jawaban pts mata pelajaran seni budaya smp kelas viii semester ganjil kurikulum 2013 ta. Berikut ini adalah rincian soal uts seni budaya kelas 8 smp/mts semester 1. Soal penilaian tengah semester (pts) kurikulum 2013 edisi revisi 2017 mata pelajaran bahasa indonesia kelas. Seni tari bab 5 merangkai gerak tari tradisional a.
Buku sekolah elektronik (bse) seni dan budaya smp / mts kelas viii semester 1 dan semester 2 kurikulum 2013. Download soal dan kunci jawaban pts seni budaya kelas 8 semester 1 kurikulum 2013. Bse kurikulum 2013 merupakan buku siswa gratis yang hak ciptanya dimiliki oleh kementerian pendidikan dan kebudayaan (kemendikbud) yang dapat disebarluaskan ke masyarakat. By guru merryposted on 22/02/2021. Download soal, serta kunci jawaban pts mata pelajaran seni budaya smp kelas viii semester ganjil kurikulum 2013 ta.
Contoh Soal Seni Budaya Dan Ketrampilan Kelas Iv Sd from image.slidesharecdn.com Tata iringan tari tradisional f. Soal uas seni budaya kelas vii semester genap tp. Video pembelajaran siswa kali ini berisi rangkuman materi pelajaran seni budaya kelas 8 smp kurikulum 2013 semester 1 dan 2. Berikut ini yaitu pola soal penilaian tengah semester (pts/ uts) mata pelajaran seni budaya kelas 8 (viii) soal pts/uts prakarya kelas 7 semester 1 smp/mts kurikulum 2013. Soal uas 1 matematika kelas 8 smp mts kurikulum 2013 (baca). Meskippun begitu, anda tidak usah risau dalam mengerjakan soal seni budaya ini, karena pada akhir artikel kami sudah menyediakan pembahasan. Perangkat pembelajaran seni budaya smp/mts kelas 9 ktsp. Pada latihan soal uas seni budaya kelas 8 ini berjumlah soal berjumlah 50 butir, dalam bentuk pilihan ganda, dengan tambahan file pdf yang bisa di c.
Berikut kunci jawaban dari postingan soal dan jawaban seni budaya.
Semoga soal ujian seni budaya terbaru ini dapat membantu adik adik dalam menghadapi uas seni budaya. Jadi anda cuma diperuntukan untuk mengubah kop sekolahnya saja. Pilihlah jawaban yang paling tepat diantara huruf a, b, c atau d, dengan cara menghitamkan lingkaran pada lembar jawab yang tersedia! Aplikasi ini dibuat untuk para siswa agar lebih mudah dalam mempelajari pelajaran seni budaya kapanpun dan dimanapun. Dalam 100 contoh soal seni budaya kurikulum 2013 ini mungkina da beberapa karakteristik soal, yaitu soal mudah, sedang, dan sukar/ sulit. Berikut ini yaitu pola soal penilaian tengah semester (pts/ uts) mata pelajaran seni budaya kelas 8 (viii) soal pts/uts prakarya kelas 7 semester 1 smp/mts kurikulum 2013. Pendekatan kurikulum dalam pembuatan soal ini adalah kurikulum 2013 revisi 2017. Perangkat pembelajaran seni budaya smp/mts kelas 9 ktsp. Download soal dan kunci jawaban pts seni budaya kelas 8 semester 1 kurikulum 2013. Berikut kunci jawaban dari postingan soal dan jawaban seni budaya. Soal penilaian akhir semester uas 1 seni budaya kelas 8 smp mts k13 berbentuk pilihan ganda dengan empat soal nomor 1. Soal uas seni budaya kelas vii semester genap tp. Tata rias dan busana tari tradisional d.
Berbagi
Posting Komentar
untuk "Soal Seni Budaya Kelas 8 Semester 1 Kurikulum 2013 / Soal Sbk Kelas 8 Materi Seni Rupa Semester 1 Jawabanku Id - Buku siswa seni budaya kelas viii revisi 2017;"
Posting Komentar untuk "Soal Seni Budaya Kelas 8 Semester 1 Kurikulum 2013 / Soal Sbk Kelas 8 Materi Seni Rupa Semester 1 Jawabanku Id - Buku siswa seni budaya kelas viii revisi 2017;"